Disclaimer: All information provided herein by Cedar Grove Capital Management, LLC (“Cedar Grove Capital”) is for informational purposes only and does not constitute investment advice or an offer or solicitation to buy or sell an interest in a private fund or any other security. An offer or solicitation of an investment in a private fund will only be made to accredited investors pursuant to a private placement memorandum and associated documents.
Cedar Grove Capital may change its views about or its investment positions in any of the securities mentioned in this document at any time, for any reason or no reason.
Students can get access to our research at a reduced rate by clicking here.
Preview
On January 12th, we shared our note regarding our concerns with Hims and Hers Health (HIMS) stock post-shortage GLP-1 re-rating perhaps coming sooner than anticipated.
If you’ve been following our research last year, we’ve done incredibly well navigating the multiple sell-offs and effectively hedging our position while still delivering targeted data on the ongoing situation of compounded GLP-1s.
While the former administration did not resolve the semaglutide shortage, we believe that the end is still much closer than it appears and it will potentially be a function of when Trump confirmations get done.
Based on our data collected from speaking to 40 pharmacies in 30 cities across 17 states, our findings support both
Why semaglutide was marked available by NOVO at the end of October and,
That pharmacies are not having issues getting supply.
Our research below also highlights the 503a exemption rule and why we reiterate our point of view that post-shortage, the compounding GLP-1 side of the business will not be able to scale under this exemption.
We’ll also break down how we view revenue impact in a post-shortage world.
To get our full list of research, click here to access our table of contents.
Cheers.
The Gravity of the Situation
There’s a reason we flipped bearish on HIMS and there’s a reason we felt that taking profits sooner rather than later was warranted. While we were not trying to time a “top”, the issue comes from the market “discounting” the severity of GLP-1 risks the longer it goes on.
A risk that we’ve consistently tracked, highlighted, and provided commentary for you all on since Andrew made his post-shortage comments during the Q2’24 earnings call.
The longer the drug remains available but not resolved, the greater portion of sales GLP-1s will make up. Based on our post-Q3’24 earnings report we sent you all, we estimated GLP-1s made up ~13% of total sales. This is up from ~4% in Q2 with an estimated ~26% of sales for Q4’24 according to BofA.
While currently in Q1 and attached to the widely known “new year, new me” mentality of health changes, it’s not hard to imagine it can become much more if core shows signs of weakness, which BofA also potentially alluded to in their report earlier this month.
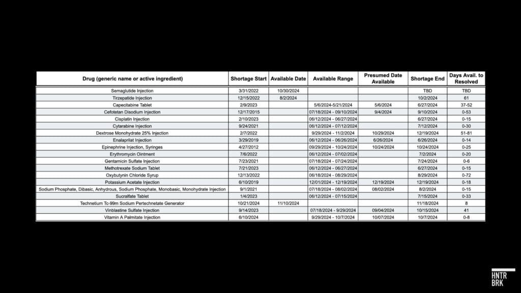
In essence, the risk of just this one event, which is now 87 days since marked “available” on the FDA’s website, is now 26 days longer than it took them to resolve tirzepatide.
As we’ve spoken to a few of you already about this matter personally, you know that we’ve labeled long investors holding the stock with this risk growing as equal to clutching a lit M80 firecracker with a closed fist. And as time goes on, that M80 is only getting bigger.
Frankly, we’d rather not lose our fingers, and that’s why we spent the last week doing channel checks to see what’s actually happening out there.
Pharmacy Channel Checks
As a reference point, the last time we did something similar to this, it was to weigh the odds that the FDA was right in removing tirzepatide from the shortage list and updating the country on their decision come December 19th.
Our channel checks were proven right and indeed, the FDA doubled down on removing tirzepatide from the shortage list on that day.
For semaglutide, it gets a little bit trickier.
It’s been around and compounded for longer than tirzepatide which has caused longer shortage-related issues for the active ingredient.
But given that it’s taken longer for the FDA to resolve the shortage than tirzepatide, we wanted to talk to pharmacies to ensure we weren’t missing anything.
Over the last week, we talked to 40 pharmacies in 30 cities across 17 states ranging from independent pharmacies to bigger chains like CVS and Walgreens.
We even talked to a few pharmacies that were located within supermarkets like Target and Harris Teeter and asked them all the same three questions.
Do you currently have 0.5mg of Wegovy (NOT Ozempic) in stock?
We asked for 0.5mg specifically because it’s the second lowest dose which can be a proxy for patients who have already officially started but are at the next stage of titration.
Currently in stock refers to whether it is in their fridge at the very moment we called them.
If they didn’t have it in stock, how long would it take them to order it with a script ready?
Have they been seeing the supply issue getting better over the last few weeks/month versus a few months ago?
We felt these questions were appropriate enough to get a gauge on the situation, and we specifically targeted many pharmacies in states with the highest obesity rates.
Below are the unfiltered takeaways from each pharmacy we talked to.
Key Takeaways
Out of the 40 pharmacies we spoke to, 11 (27.5%) currently had Wegovy 0.5mg in stock sitting in their fridge.
4 (10%) verbatim told us that the drug was back ordered (more info on this in a bit).
90% of the pharmacies said they can get it within 1 - 2 business days.
>82% said the situation has either gotten better or somewhat better than a few months ago.

Broadly speaking, an overwhelming amount of the pharmacies didn’t seem to be running into any issues and despite not having them in stock, ordering it for the next day was all too common.
However, like all things when talking to individuals or businesses, the data isn’t perfect which is why we went further to double-check certain claims.
At the start, the reason we only called one pharmacy per city was because more often than not, the surrounding area all get their supply from a similar wholesaler (ex, McKesson). Large companies like Walgreens or CVS also can check their systems in surrounding locations and provide commentary on who has stock (incorporated in the raw data file when applicable).
When we talked to a pharmacy that highlighted backorder issues, we then called other large and independent pharmacies to confirm the claims.
For instance, we called a CVS in Dallas TX that said they’ve had issues getting lower dosages and it’s back-ordered. We then called an independent pharmacy not far from it and they said the complete opposite.
Similar instances happened elsewhere like Nashville TN, Oklahoma City OK, Atlanta GA, and Charleston SC.
In certain instances, if a big box chain like CVS or Walgreens told us that it was back ordered or they were having supply issues, we would then call a neighboring pharmacy of the same chain to confirm which would tell us the complete opposite.
Aka, conflicting stories so we’re not entirely sure if the pharmacist who gave us negative information was new, unfamiliar, or what. We then went another step further and called an independent pharmacy to confirm the contradicting pharmacy’s claims which always turned out to be positive.
You also have to remember that independent pharmacies are not “preferred” pharmacies which means that when it comes to wholesalers allocation of drugs, they aren’t at the top of the list to get a shipment. Even with this handicap they still told us that ordering would not be an issue.
All in all, our channel checks with pharmacies do not lead us to believe that the supply issue is bad, in stress, or reversing. If anything, it’s further proving that the FDA should have grounds to resolve this sooner rather than later.
Another point of reference that we want to highlight, which we used for tirzepatide, is utilizing Ro’s GLP-1 supply tracker.
Ro GLP-1 Supply Tracker
Last time, we used Ro’s GLP-1 supply tracker to check tirzepatide issues over time. This tracker is a self-serve reporting system which means that patients who land on that webpage need to update it themselves with the issues they’ve encountered.
Given that various weight loss related pages on Ro get 20 - 30k views a month (according to SEMRush), it’s reasonably safe to assume that many people do indeed visit this supply tracker page.
While there have been considerably more reported semaglutide issues overall, the trend for the smaller dosages (0.25 / 0.5 / 1.0mg) continues to move downwards (second image).


Again, while not foolproof, it does directionally support the pharmacy’s claims of the overall situation getting better.
When the FDA Could Resolve Semaglutide
The billion-dollar question on every investor’s mind is when will the FDA resolve the shortage? Hunterbrook Media put out a great article at the end of last year that laid out a great case for why it could come off imminently, which we highly recommend reading.
When it came to tirzepatide, it took 61 days from being marked as available to resolved by the FDA so it was logical to assume that a similar situation with semaglutide could be made at the time that report came out.
However, this did not pan out which meant that the next window to resolve the situation was under the closing window of the Biden administration which unfortunately too did not pan out as well.
So where does this leave us? Well, we think a few things currently in motion are going to affect this decision.
First and foremost, a point needs to be made that the FDA’s mandate is to protect the public's health by ensuring the safety, efficacy, and security of products. No matter your views regarding the FDA and how much-compounded drugs could help patients, the FDA mandate inherently makes them pro-pharma over being pro-compounder.
That’s the whole reason why things are stamped with “FDA-approved” because that carries weight when you’re trying to protect the public’s health from shady actors trying to make a buck through loopholes.
These very loopholes are the reason why the FDA is not a fan of compounders who take advantage of shortages that are currently going on. To support this claim, the outgoing FDA commissioner Robert Califf made it known about his compounding concerns just two weeks ago.1
"I'm very worried about the internet compounding industry. Some of it, I'm sure, is very high quality, but it's very hard, if you are ordering things on the internet, to know exactly what you're getting.
Current laws and regulations are not enough to protect Americans from the risks of compounded versions of popular weight loss drugs, especially those bought online.”
And he has reasons to be making these comments. As of November 30th, 2024, the FDA has received,2
more than 392 reports of adverse events with compounded semaglutide.
more than 215 reports of adverse events with compounded tirzepatide.
This is why both Novo (NVO) and Eli Lilly (LLY) have filed lawsuits against compounders to get them to stop and to hopefully build up momentum to take on bigger players when the time comes.
So right out of the gate, the FDA would like to resolve the situation as soon as possible given their mandate and the “risks” associated with compounded drugs companies that continue to come up.
Aside from the above, the next issue comes from who will be the one deciding to end the shortage. With the previous leadership gone, investors eagerly await Trump’s picks to be confirmed.
We highlighted our views on the bigger “Make America Healthy Again” (MAHA) from the three incoming Trump picks in our 2025 Themes Report (free).

With possibly conflicting viewpoints on the future of GLP-1s between the three and the very obvious conflict of interest under Martin Makary,3 it’s hard to determine what they’ll say and when.
If we’re playing on the timeline for new appointees then the closest one on the docket right now is RFK Jr. scheduled for January 29th. Both Mehmet Oz and Martin Makary confirmation hearings have yet to be released so we’ll see when they do get confirmed and start making decisions.
However, speaking to others on this subject, in their opinion, it seems unlikely that an acting FDA commissioner would decide before new admins come in though we do want to make it a point that it’s not solely reliant on that fact.
If government agencies were left in limbo because they needed to wait for appointees to get confirmed, we’re talking potentially months before anything can get done, and especially in healthcare, that could have dramatic effects on public health.
A prime example to counter this argument is that the FDA acted just this past week. On January 22nd, the FDA resolved Vecuronium Bromide Injections,4 1.5 days into Trump’s second term.
So while they don’t think an interim commissioner would do something, never say never.
Lastly, it’s also not a function of semaglutide needing no supply issues to be marked resolved. Even when the FDA marked tirzepatide as resolved, it still said that you could still see pockets of issues in select pharmacies.
It even states this right now on the drug shortage page for tirzepatide even after the December 19th ruling.

So we don’t want to make it sound like the conditions need to be perfect or that appointees need to be confirmed for a decision to come down. If the data is good, then it should be taken off when that happens.
We do want to note that the 87 days of not being marked resolved is now the longest time a drug has been waiting in limbo based on the drugs that Hunterbrook shared in their original piece.

Time is ticking but we still firmly believe that the shortage will be resolved within Q1 of this year with the likelihood of sometime in February as opposed to March (EoQ),
How HIMS Will Change in a Post-Shortage World
What we’ve also been pounding the table on over the last ~5 months is that in a post-shortage world, there are strict limitations on what you can and cannot compound. Despite what Andrew has led investors to believe, it’s not going to be what a lot of retail is expecting.
While he’s not wrong that HIMS can compound these drugs through the 503a exemption, the problem is that you can’t scale it. That’s where the cash flow faucet gets dramatically reduced.
What do we mean by this?
Compounded drugs serve a very good purpose for patients who have a hard time taking traditional FDA-approved drugs. Perhaps they need tweaking in order to be able to take said drug to better their lives.
Compounding is only allowed though when it is not an essential copy of an existing drug that produces a significant difference that otherwise would not be commercially available.5
That means that when providers prescribe compounded drugs, it needs to fill a need that off-the-shelf FDA-approved medication cannot.
We broke this down in our Q2’24 post-earnings report that sent shockwaves when Andrew said he’ll continue compounding after the shortage (below).
That is where things will get hairy and why we think the day of reckoning will be bad when it does happen. John Hertig, an associate professor at Butler University's College of Pharmacy and Health Sciences said,
"There is a space in this world where compounders are important when things go on shortage or if there's a supply chain issue or you need a patient-specific alteration of a medicine because of that patient's condition. The problem, he added, comes when compounders are ‘playing games’ and ‘skirting that essential copy regulation’ by adding a minor ingredient to make the drug technically different or changing its form of delivery.
The question now becomes what counts as too close a copy to be allowed and whether a small alteration is really different — some entities might try to add vitamin B12 to their drugs or deliver it in oral form and argue that it's OK. This could very well become battleground territory.”6
This thinking is what also led Citi to downgrade the stock and cite that semaglutide coming off shortage would seriously impact the business, which we agree with.
But how? What numbers do we have to support this? There are two ways to look at this.
#1 According to regulations, compounding pharmacies cannot produce the drug in inordinate amounts. What are inordinate amounts?
Inordinate amounts are set by each state that has entered into a memorandum of understanding (MOU) with the FDA which outlines the amounts that compounding pharmacies are allowed to manufacture interstate.7
If there isn’t an MOU in place right now with the state and the FDA, then the default falls to the “5 percent limit” in its absence.8
“… a compounder located in a state that has not entered into a standard MOU with FDA does not distribute compounded drugs out of the state in which they are compounded in an amount that exceeds 5 percent of the compounder’s total prescription orders dispensed or distributed.”
The next problem though is that the FDA is extending the period of enforcement in this particular matter until they can get their ducks in a row.9 That means that there technically isn’t an MOU at the moment but that doesn’t mean that it isn’t coming at some point.
If this were to get enforced, then you’re looking at 5% of total scripts from the pharmacies that HIMS uses to compound said medications at the strictest level.
However, there is another way to look at this for the time being. Remember, aside from inordinate amounts, a provider needs to deem that a patient requires a compounded version of the drug because they otherwise wouldn’t be able to take it.
Now we’re all for trusting providers to give us their best recommendations and do what’s best for the patient but this would not be the first time that providers have abused the system and put patients in danger. Please refer to Done and Cerebral which were two other telehealth companies that set high quotas for providers to prescribe ADHD medication to its patients to make more money.
They effectively became pill mills and the Done founders ended up getting arrested10 and Cerebral was hit with a $6.6 million penalty from the government.11
We aren’t saying that HIMS is engaging in these practices; we’re just making the point that not all presumably good actors are indeed “good.”
Besides that, the FDA will leave it up to the providers’ judgment on whether or not the patient needs something different (aka, compounding). If we want to gauge with napkin math just what that could be, we could look at what % of patients of semaglutide suffer from serious adverse effects (SAEs).
This SAE can serve as a good proxy to determine what providers could deem necessary to make that call. Essentially, we’re looking at it as the bridge between a drug with absolutely no issues (unheard of) and what is being reported in studies.
That gap is what could be compounded to help patients who otherwise drop the regiment because they can’t continue.
If we look at a weight loss study from 2022 and a more recent study from 2024, they report total adverse effects from patients at 48.6% and 45.1%, respectively.
However, in the study from 2022, only 2.9% of patients had to stop semaglutide because of the intolerability.

In the 2024 study, only 6.5% of patients had any adverse effects that led to a discontinuation of the trial.12

So if you want to claim that anywhere between 2.9% and 48.6% had AEs that would need to get a compounded medication, then we would be left with an average of ~25%.
We will note that the 25% rate is still relatively high considering that even HIMS reported in their weight loss paper that "84% of customers say they’re happy with how things are going" which implies that 16% aren’t happy.
Of that 16 %, it seems only 10 (10%) are actually suffering from SAEs or AEs.
"When customers aren’t happy, side effects continue to be the main culprit. 64% of those who aren’t happy with how things are going are experiencing side effects, most often nausea, vomiting, and constipation."
What does all this mean?
If we look at some back-of-the-envelope math of the revenue impact this change will bring, which for our purposes we’ve calculated off of Q1’24 figures at a 25% QoQ growth from BofA $120 million Q4 estimates, it’s not pretty.
The first round of calculations is what we shared with you all on November 5th but the bottom half is the updated estimates of the impact. We label Pharmacy MOUs as the deciding factor but we also want to highlight that for intensive purposes, this should also be exchanged with SAEs and the ability to prescribe.

If you’re a long investor holding that M80 in your hand, are you comfortable knowing that between $450 and $570 million in revenue could just evaporate? Lead stomach to be able to swallow that pill when it goes down.
While the above only highlights GLP-1 revenue and its impact, we’re not oblivious to the fact that patients would at the very least try HIMS weight loss kit ($79/mo) or their compounded liraglutide when it launches.
We figure that of the patients that inevitably get cut, less than half would try the alternative medication once they find out of its efficacy (liraglutide isn’t as good and is daily) with just anywhere from 10 - 20% staying on after that.
Parting thoughts
We’re bullish on telehealth but we didn’t want to make it seem that we were shorting HIMS strictly because we didn’t do the homework. All the ingredients are there to make this decision, it’s just a matter of when the cord gets pulled.
If we were offered whether to jump from a 1-story building roof or a 2-story building roof, we’d rather find a way to just walk out the front door. And that’s exactly what we’ve done.
As always, we appreciate your support of our work. If you have any questions, please make sure to message or comment below. If you think others would benefit from the research/commentary we release, we would greatly appreciate you sharing.
Until next time,
Paul Cerro | Cedar Grove Capital
Personal Twitter: @paulcerro
Fund Twitter: @cedargrovecm